記事公開日
リジェネバーナの切換時間を短くすると効率が上がるのはなぜ?

リジェネバーナに内蔵される再生式熱交換器(リジェネレータ)の蓄熱/放熱の切換時間を短くすることで排ガスと空気の熱交換の効率が向上します。以下にその理由を解説します。
リジェネバーナにおいて高温排ガスを吸引する側の蓄熱体では、表面に高温の排ガスが流れ、排ガスの熱により蓄熱体が加熱(熱が吸収)されます。
一方、燃焼のために空気を供給する側の蓄熱体では、蓄熱体に蓄熱した熱は低温の空気に伝わり空気が高温化します。言い方を変えると蓄熱体は空気によって冷却(熱が放出)されます。
再生式熱交換器はこの動作の繰り返しによって排ガスと空気の熱交換を行います。
そして設定した切換時間が経過後、排ガスと燃焼空気の流路が切換わると、空気で冷却され温度が低下した蓄熱体の表面には再度高温の排ガスが流れ始め、再び蓄熱体の加熱が開始されますが、この時、温度低下した蓄熱体の表面を高温排ガスが流れ始める最初の瞬間において、排ガスと蓄熱体の温度差が最も大きくなります。
同様にして、高温になっている蓄熱体の表面を低温の空気が流れ始める最初の瞬間において空気と蓄熱体の温度差が最も大きくなります。
即ち、排ガスから蓄熱体、および蓄熱体から空気への伝熱において瞬間的な熱流束が最も大きくなるのは流路を切換えてから最初の瞬間において、最も温度差が大きくなる時であると言えます。
切換時間を短くするという事は、一定の時間内に熱流束が最も大きくなる瞬間が切換時間が長い時よりも頻繁に現れることになり、結果として伝熱の効率が向上することが感覚的にご理解いただけると思います。
次にこのことを伝熱の方程式から解析的に確認してみましょう。
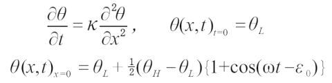
図1に示される様な条件にて、半無限体の非定常伝熱モデルを用います。
熱伝導方程式の初期条件および境界条件は次のように設定します。κは熱拡散率、θLは低温側の温度、θHは高温側の温度、xは壁面からの厚さ、tは時間、ωは角振動数、ε0は初期位相です


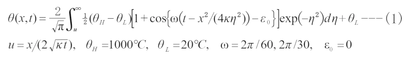
境界条件が時間とともに変化する場合の非定常熱伝導解析で得られた切り換え周期と温度との解を計算させるための解は(1)式になります。

この式から定まる温度分布の勾配から求めた熱流束の経過時間に対する変化の様子をそれぞれ 図2に示します。
(A)切換周期60秒と(B)切換周期30秒の2つの例について比較すると、30秒の方が1.4倍程度、そのピーク熱流束が増加しています。
単振動周期関数の絶対値積分量がその振幅、つまりピーク振幅値に依存する例からも推定できるように、図2において切換周期を短くしたことによって蓄熱体に吸収又は放出された熱量が増加したことがわかります。
このように高速切換式蓄熱型熱交換器は切換時間の短縮に応じて高い熱交換効率が得られるため、排ガス顕熱を効率的に燃焼用空気顕熱に熱交換させることができ、その結果熱効率が改善されることになります。

出典:
長谷川敏明,田中良一:「超過エンタルピ燃焼の新しい応用―高性能工業炉システムの構想―」
日本燃焼学会誌,第35巻93号(1993年),pp.95–104